Нэвтрэх
Бүртгүүлэх
Нүүр
БИДНИЙ ТУХАЙ
ДАРГЫН МЭНДЧИЛГЭЭ
ТҮҮХЭН ЗАМНАЛ
АЛСЫН ХАРАА ЗОРИЛГО, ЗОРИЛТ
Бүтэц, зохион байгуулалт
АЛБА, САЛБАРУУД
БТСГ-ын 2025 оны нэгдсэн арга хэмжээний төлөвлөгөө
ҮЙЛ АЖИЛЛАГААНЫ СТРАТЕГИЙН ЗОРИЛГО
ҮЙЛ АЖИЛЛАГААНЫ ТЭРГҮҮЛЭХ ЧИГЛЭЛ
ҮЙЛ АЖИЛЛАГААНЫ ТЭРГҮҮЛЭХ ЧИГЛЭЛ
БТСГ -ын стартеги төлөвлөгөөний биелэлт- 2024
ХОВД АЙМГИЙН БИЕИЙН ТАМИР, СПОРТЫН ГАЗРЫН ЧИГ ҮҮРЭГ
Үйл ажиллагааны тайлан, Мэдээлэл хариуцагчийн үйл ажиллагаанд хийсэн хяналт-шинжилгээ, үнэлгээ
ҮЙЛ АЖИЛЛАГААНЫ ИЛ ТОД БАЙДАЛ
ТӨСӨВ САНХҮҮГИЙН ИЛ ТОД БАЙДАЛ
2024-ОНЫ ГҮЙЦЭТГЭЛИЙН МЭДЭЭ
ТӨРИЙН ҮЙЛЧИЛГЭЭНИЙ АЛБАН ХААГЧДАД УР ЧАДВАРЫН НЭМЭГДЭЛ ОЛГОХ ШИНЭЧИЛСЭН ЖУРАМ
Дотоод аудит
2024-ОНЫ ХУДАЛДАН АВАХ АЖИЛЛАГААНЫ ТӨЛӨВЛӨГӨӨ
ТӨСӨВИЙН ТӨСӨЛ 2025
ХӨРӨНГӨ ОРУУЛАЛТ
ТЕНДЕР
Төсвийн гүйцэтгэлийн биелэлт болон хагас ТАЙЛАН
Биеийн тамир спортын газрын иргэдэд үйлчилэх үнэ тариф
Үйлчилгээний төрөл
Үзүүлж байгаа үйлчилгээний талаар дараах мэдээллийг байнга ил тод, нээлттэй байдал
ХҮНИЙ НӨӨЦИЙН ИЛ ТОД БАЙДАЛ
Албан хаагчийн ажлын гүйцэтгэлийг үнэлэх журам
Ажлын байрны сул орон тооны талаарх мэдээлэл
Хүний нөөцийн стратеги
Албан тушаалын тодорхойлолт
Гүйцэтгэлийн төлөвлөгөөний биелэлт-2025
Албан хаагч, ажилтныг сонгон шалгаруулах журам
Өргөдөл, гомдлын шийдвэрлэлтийн тайлан, мэдээ
Хөгжлийн бодлого, төлөвлөлтийн баримт бичгийн хэрэгжилтийн тайлан
АЛБАН ХААГЧИЙН ЁС ЗҮЙН ХЭМ ХЭМЖЭЭЭ
БИЕИЙН ТАМИР СПОРТЫН ГАЗРЫН БҮТЭЦ, ОРОН ТООГ ШИНЭЧЛЭН БАТЛАХ ТУХАЙ
Хүний нөөцийн удирдлагын ил тод байдлыг хангах чиглэлээр авч хэрэгжүүлж байгаа арга хэмжээ
АНКЕТ, МАЯГТ
ӨРГӨДӨЛ ГОМДОЛ
Бүтэц орон тоо
АЛБАН ТУШААЛЫН ТОДОРХОЙЛОЛТ
Албан хаагчын ажиллах нөхцөл нийгмийн баталгааг хангах хөтөлбөр, төлөвлөгөө
Байгууллыг гэрчилгээ
Мэдээлэл хариуцагчийн явуулж байгаа үйл ажиллагаа
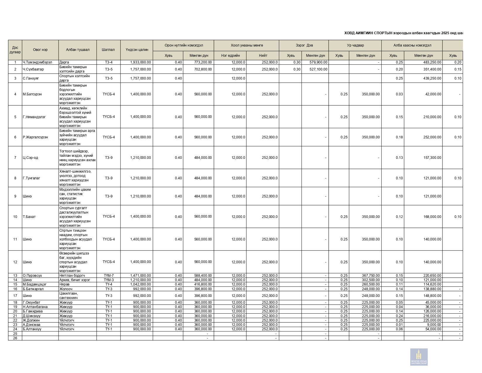
Ховд аймгийн Биеийн тамир спортын газрын авч байгаа цалин хөлс, урамшууллын дүн
АВИЛГЫН ЭСРЭГ ҮЙЛ АЖИЛЛАГАА
ШИЛ АЖИЛЛАГАА
Хуулийн хэрэгжилтийн үр дагаврын үнэлгээний тайлан
2025 Үйл ажиллагаандаа мөрдөж байгаа хууль тогтоомж
МЭДЭЭ МЭДЭЭЛЭЛ
"ЭРҮҮЛ МОНГОЛ ХҮН" ҮНДЭСНИЙ ХӨДӨЛГӨӨН 1- САРЫН АЯН
"ЭРҮҮЛ МОНГОЛ ХҮН" ҮНДЭСНИЙ ХӨДӨЛГӨӨН 1-ДАХЬ ӨДӨР
"ЭРҮҮЛ МОНГОЛ ХҮН" ҮНДЭСНИЙ ХӨДӨЛГӨӨН 2-ДАХЬ ӨДӨР
"ЭРҮҮЛ МОНГОЛ ХҮН" ҮНДЭСНИЙ ХӨДӨЛГӨӨН 3-ДАХЬ ӨДӨР
"ЭРҮҮЛ МОНГОЛ ХҮН" ҮНДЭСНИЙ ХӨДӨЛГӨӨН 4-ДАХЬ ӨДӨР
"ЭРҮҮЛ МОНГОЛ ХҮН" ҮНДЭСНИЙ ХӨДӨЛГӨӨН 5-ДАХЬ ӨДӨР
"ЭРҮҮЛ МОНГОЛ ХҮН" ҮНДЭСНИЙ ХӨДӨЛГӨӨН 6-ДАХЬ ӨДӨР
"ЭРҮҮЛ МОНГОЛ ХҮН" ҮНДЭСНИЙ ХӨДӨЛГӨӨН 7-ДАХЬ ӨДӨР
"ЭРҮҮЛ МОНГОЛ ХҮН" ҮНДЭСНИЙ ХӨДӨЛГӨӨН 8-ДАХЬ ӨДӨР
"ЭРҮҮЛ МОНГОЛ ХҮН" ҮНДЭСНИЙ ХӨДӨЛГӨӨН 9-ДАХЬ ӨДӨР
"ЭРҮҮЛ МОНГОЛ ХҮН" ҮНДЭСНИЙ ХӨДӨЛГӨӨН 10-ДАХЬ ӨДӨР
"ЭРҮҮЛ МОНГОЛ ХҮН" ҮНДЭСНИЙ ХӨДӨЛГӨӨН 11-ДАХЬ ӨДӨР
"ЭРҮҮЛ МОНГОЛ ХҮН" ҮНДЭСНИЙ ХӨДӨЛГӨӨН 12-ДАХЬ ӨДӨР
"ЭРҮҮЛ МОНГОЛ ХҮН" ҮНДЭСНИЙ ХӨДӨЛГӨӨН 13-ДАХЬ ӨДӨР
"ЭРҮҮЛ МОНГОЛ ХҮН" ҮНДЭСНИЙ ХӨДӨЛГӨӨН 14-ДАХЬ
"ЭРҮҮЛ МОНГОЛ ХҮН" ҮНДЭСНИЙ ХӨДӨЛГӨӨН 15-ДАХЬ
"ЭРҮҮЛ МОНГОЛ ХҮН " ҮНДЭСНИЙ ХӨДӨЛГӨӨН 17-ДАХЬ ӨДӨР
ЭРҮҮЛ МОНГОЛ ХҮН ҮНДЭСНИЙ ХӨДӨЛГӨӨН АЯН
"ЭРҮҮЛ МОНГОЛ ХҮН "ҮНДЭСНИЙ ХӨДӨЛГӨӨН 18-ДАХЬ ӨДӨР
"ЭРҮҮЛ МОНГОЛ ХҮН " ҮНДЭСНИЙ ХӨДӨЛГӨӨН 19-ДАХЬ ӨДӨР
"ЭРҮҮЛ МОНГОЛ ХҮН " ҮНДЭСНИЙ ХӨДӨЛГӨӨН 20-ДАХЬ ӨДӨР
"ЭРҮҮЛ МОНГОЛ ХҮН " ҮНДЭСНИЙ ХӨДӨЛГӨӨН 21-ДАХЬ ӨДӨР
"ЭРҮҮЛ МОНГОЛ ХҮН " ҮНДЭСНИЙ ХӨДӨЛГӨӨН 22-ДАХЬ ӨДӨР
ЦАГ ҮЕИЙН МЭДЭЭ
ФОТО МЭДЭЭ
“Мөнгөн Арслан-2024”
Монголын хүүхдийн спортын 8-р наадмын шатрын төрлийн Анхан шат, Ховд Аймгийн аварга шалгаруулах тэмц
Олимпийн таеквондогийн Өсвөр үеийн УАШТ-д Ховд аймгийн БТСГ-ын өсвөрийн шигшээ багийг бүрдүүлсэн
ВИДЕО МЭДЭЭ
СУРГАЛТ, СЕМИНАР
НИЙТЛЭЛ
ХАМТЫН АЖИЛЛАГАА
ГАДААД ХАМТЫН АЖИЛЛАГАА
ДОТООД ХАМТЫН АЖИЛЛАГАА
ӨСВӨРИЙН ШИГШЭЭ БАГ
ВОЛЕЙБОЛЫН ШИГШЭЭ БАГ
ВОЛЕЙБОЛЫН ХОЛБОО
САГСНЫ ШИГШЭЭ БАГ
ТЕННИСИЙН ШИГШЭЭ БАГ
ЖҮДО БӨХИЙН ШИГШЭЭ БАГ
ЧӨЛӨӨТ БӨХИЙН ШИГШЭЭ БАГ
ҮНДЭСНИЙ БӨХИЙН ШИГШЭЭ БАГ
СПОРТЫН ХОЛБОО
ШАГАЙН ХОЛБОО
ШАГАЙН ХОЛБОО
ПАУЭРЛИФТИНГИЙН ХОЛБОО
ХОВД АЙМГИЙН ҮНДЭСНИЙ БӨХИЙН ХОЛБОО
ХОВД АЙМГИЙН ХӨЛБӨМБӨГИЙН ХОЛБОО
ЧӨЛӨӨТ БӨХИЙН ХОЛБОО
Сагсан бөмбөгийн холбоо
Дартсын холбоо
ШУГАМАН БҮЖГИЙН ХОЛБОО
ВОЛЕЙБОЛЫН ХОЛБОО
ЗАЛУУРТ СУМ, БАЙТ ХАРВААН ХОЛБОО
ТАЕКВОНДОГИЙН ХОЛБОО
ЖҮДО БӨХИЙН ХОЛБОО
СУРЫН ХОЛБОО
ШАТРЫН ХОЛБОО
ДУГУЙН ХОЛБОО
УУЛЫН ХОЛБОО
ДААМНЫ ХОЛБОО
УЯАЧДЫН ХОЛБОО
САМБО БӨХИЙН ХОЛБОО
ХӨНГӨН АТЛЕТИКИЙН ХОЛБОО
ТАЕКВОНДОГИЙН ДЭЛХИЙН ХОЛБОО
ТЕННИСНИЙ ХОЛБОО
БОКСЫН ХОЛБОО
МОДОН БАРИЛДААНЫ ХОЛБОО
СУДАЛГАА
Хууль, эрх зүй
Монгол Улсын Үндсэн хууль
МОНГОЛ УЛСЫН ЕРӨНХИЙЛӨГЧИЙН ЗАРЛИГ
Хуулийн хэрэгжилтийн үр дагаврын үнэлгээний тайлан
Биеийн тамир, спортын тухай хууль
Биеийн тамир, спортын үндэсний хөтөлбөр
Аймгийн Засаг Даргын захирамж
Хууль болон олон улсын гэрээгээр нээлттэй байхаар заасан бусад мэдээлэл
Аймгийн ИТХ-ын тогтоол
Холбоо барих
Байгууллагын хаяг
Хаяг, байршил, шуудангийн хаяг, олон нийттэй харилцах, мэдээлэл хүргэх нийгмийн сүлжээний хаяг
БАЙГУУЛЛАГЫН ЦАХИМ ШУУДАН
АЛБА ХААГЧДИЙН ХОЛБОО БАРИХ МЭДЭЭЛЭЛ
Албан тушаалтны эцэг /эх/-ийн нэр, өөрийн нэр, албаны цахим шуудангийн хаяг
Мэдээ
Нүүр
Мэдээ
ТӨСӨВИЙН ТӨСӨЛ 2025
ТӨСӨВИЙН ТӨСӨЛ 2025
Пүрэвсүх
2025-09-29
0
Хуваалцах:
Холбоотой мэдээлэл
Ачаалж байна ..
Сэтгэгдэл бичих
АНХААРУУЛГА:
Та системд нэвтэрч орсоноор сэтгэгдэл бичих болон үнэлгээ өгөх боломжтой болно.
Ангилалууд
Мэдээ
НҮҮР
ХАМТЫН АЖИЛЛАГАА
Дотоод
Фото мэдээ
МЭДЭЭ, МЭДЭЭЛЭЛ
БИДНИЙ ТУХАЙ
ҮЙЛ АЖИЛЛАГААНЫ ИЛ ТОД БАЙДАЛ
Видео мэдээ
Блог
ХУУЛЬ, ЭРХ ЗҮЙ
ХОЛБОО БАРИХ
Сүүлд нэмэгдсэн
Эрэлттэй
Ачаалж байна ..
Ачаалж байна ..
Та системд нэвтэрч орсоноор сэтгэгдэл бичих болон үнэлгээ өгөх боломжтой болно.